Abstract
BACKGROUND:
We explored and validated the association of postoperative carcinoembryonic antigen (CEA) with disease-free survival (DFS) and overall survival (OS) in stage III colon cancer.
METHODS:
Patients with stage III colon cancer from the MOSAIC and PETACC-8 trials were enrolled. The relation between CEA and outcomes was continuously modeled with the restricted cubic splines (RCS) method. Association of CEA with outcomes was assessed by the Kaplan-Meier method, with two risk groups among patients with a CEA level ≤5 ng/mL. Multivariate Cox proportional hazard models were constructed.
RESULTS:
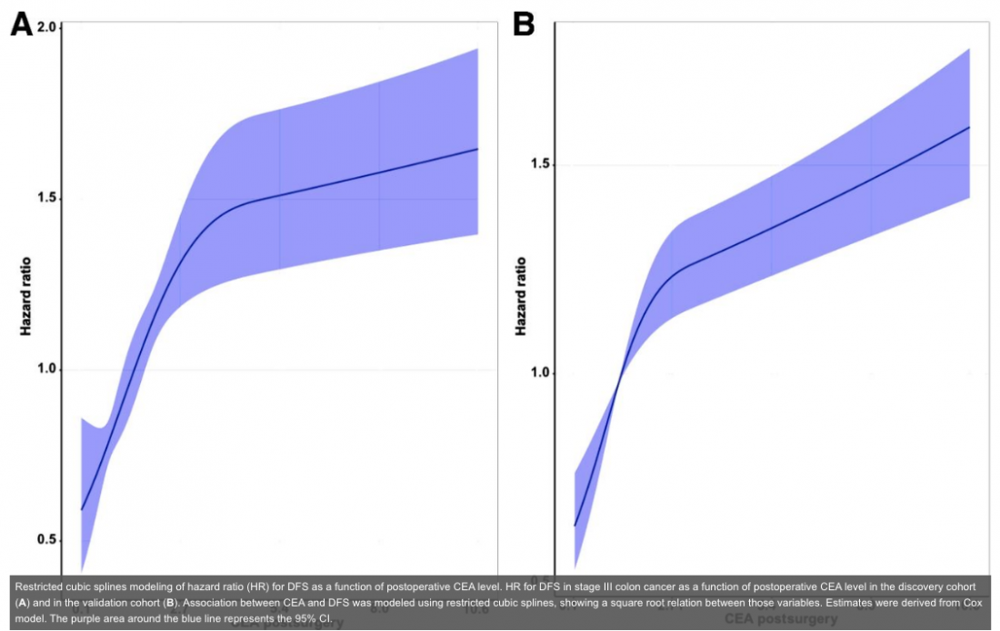
The CEA level was available in 1,292 (96%) and 2,477 (97%) patients in the discovery and validation cohorts. The RCS analysis confirmed that patients with a CEA level >5 ng/mL were at highest risk of recurrence or death and those with a CEA level ≤5 ng/mL presented a heterogeneous risk population. In the discovery cohort, the 3-year DFS rate was 75%, 65%, and 45% in a group of patients with CEA level of 0-1.30 ng/mL (n = 630), 1.30-5 ng/mL (n = 613), and >5 ng/mL (n = 49), respectively (P < 0.001). CEA was independently associated with endpoints. All findings were confirmed in the validation cohort.
CONCLUSIONS:
Postoperative CEA level was highly and independently associated with DFS and OS, especially in patients with a CEA level of ≤5 ng/mL, suggesting that this cutoff is not optimal.
IMPACT:
CEA levels should be applied more accurately in future trials and clinical practice.
©2019 American Association for Cancer Research.
PMID: 31263053 DOI: 10.1158/1055-9965.EPI-18-0867
